Ответы
Ответ дал:
0
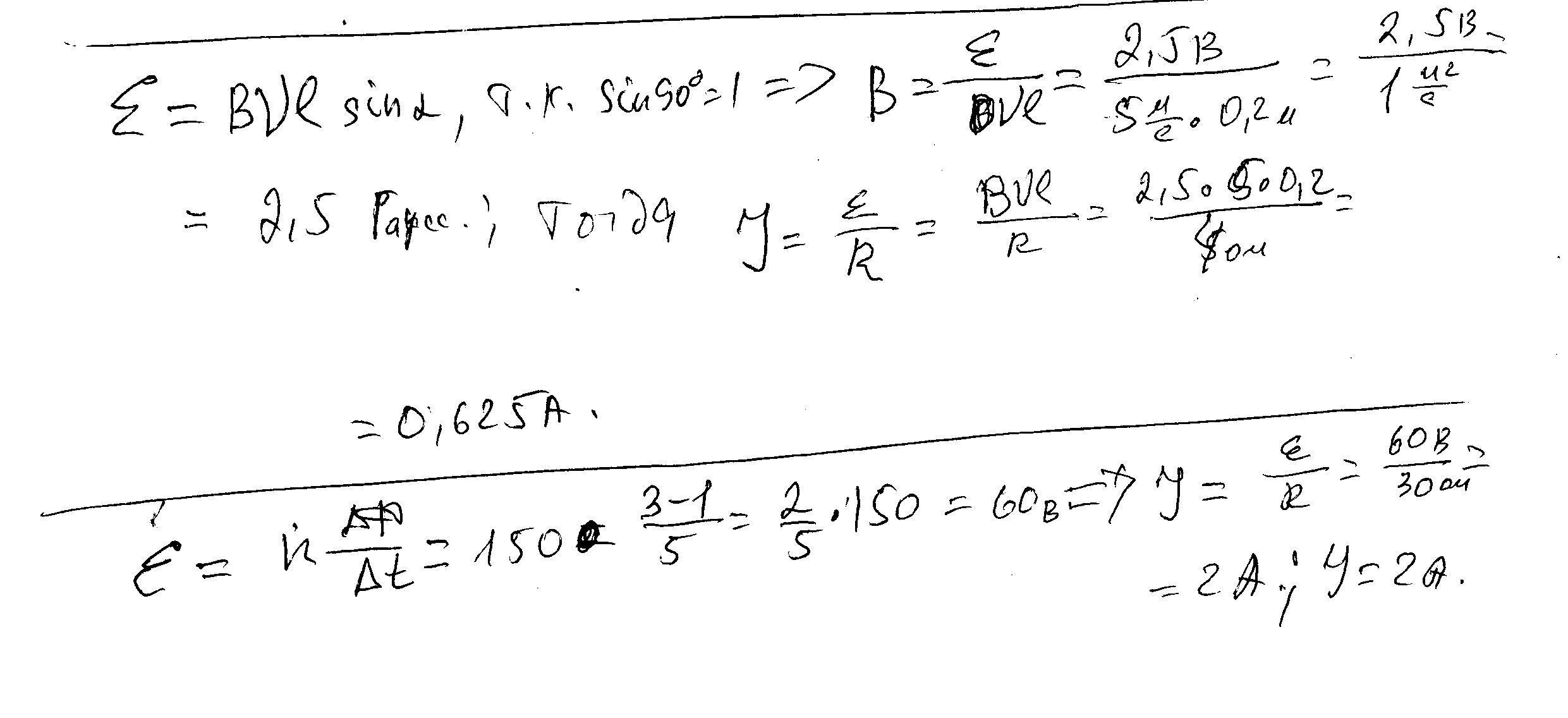
решение в скане.......
Приложения:

Ответ дал:
0
Там n*Ф(t)/дельта t
Ответ дал:
0
n xbckj dbnrjd
Ответ дал:
0
n - число витков
Ответ дал:
0
Я уже понял, спасибо)
Ответ дал:
0
Удачи Вам.
Вас заинтересует
2 года назад
7 лет назад
7 лет назад
9 лет назад
10 лет назад