• Предмет: Геометрия
  • Автор: ника5710
  • Вопрос задан 10 лет назад

12 задание плизззззззз сделайте

Приложения:

Ответы

Ответ дал: ужнеужели
0
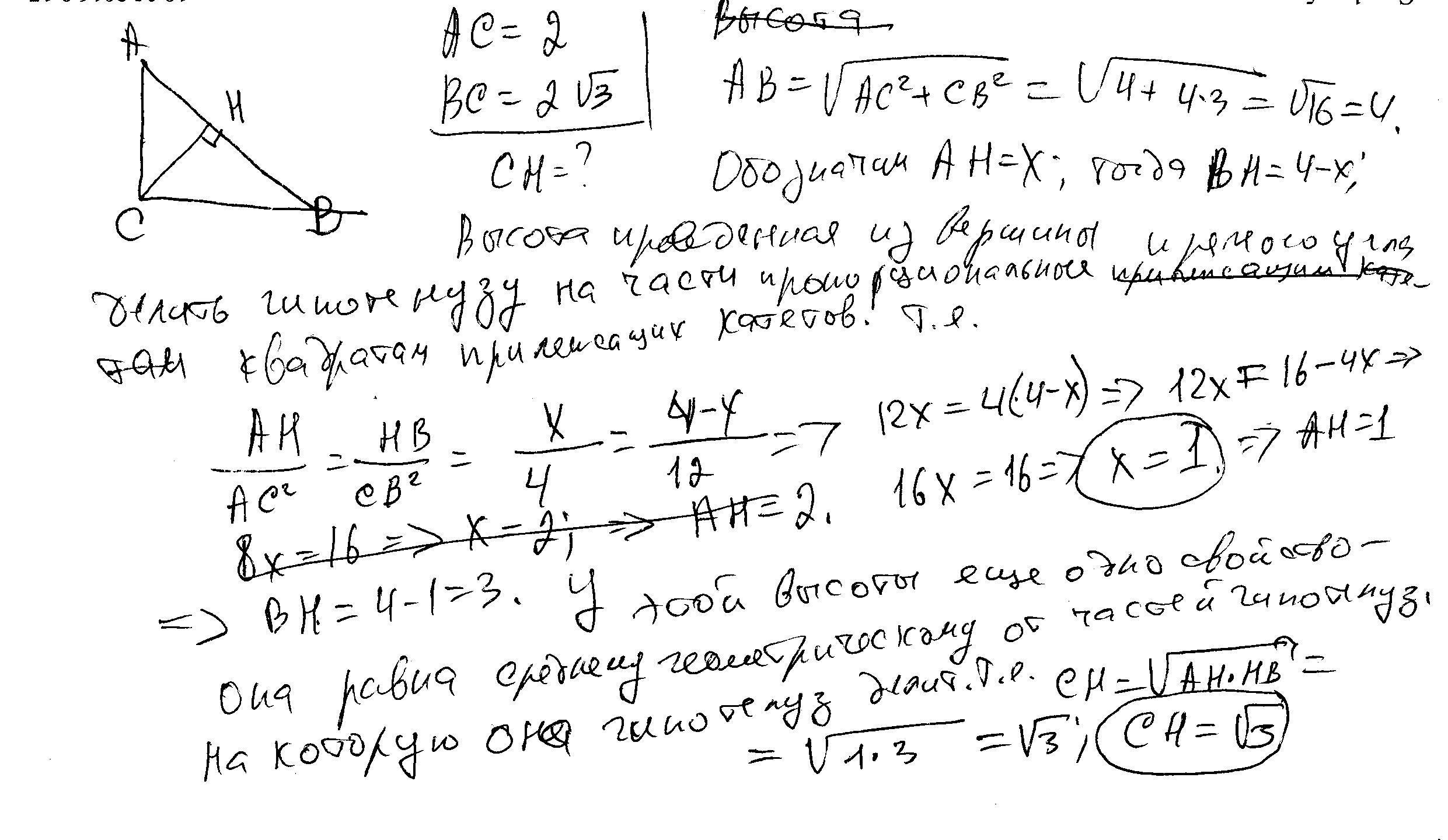
решение в скане............
Приложения:
Вас заинтересует