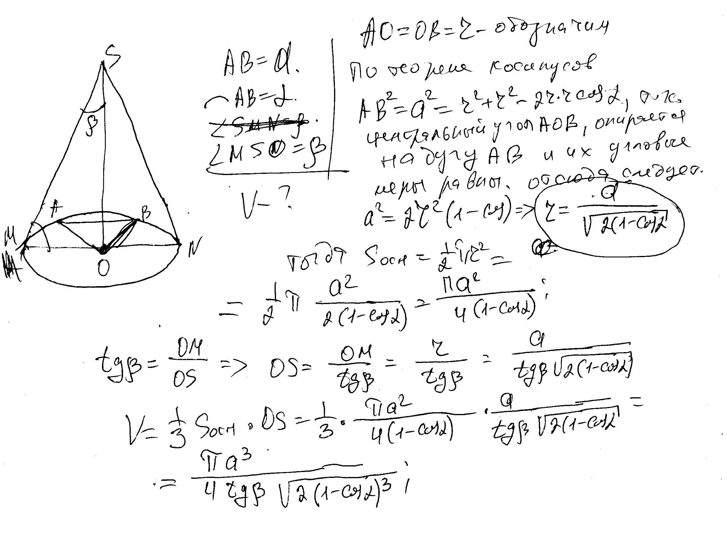
Найти объём конуса, если в его основании хорда А стягивает дугу Альфа, а угол между образующей и высотой равен Бета.
Ответы
Ответ дал:
0
решение в скане............
Приложения:
Вас заинтересует
3 года назад
3 года назад
8 лет назад
8 лет назад
10 лет назад
10 лет назад
10 лет назад