• Предмет: Геометрия
  • Автор: Аноним
  • Вопрос задан 10 лет назад

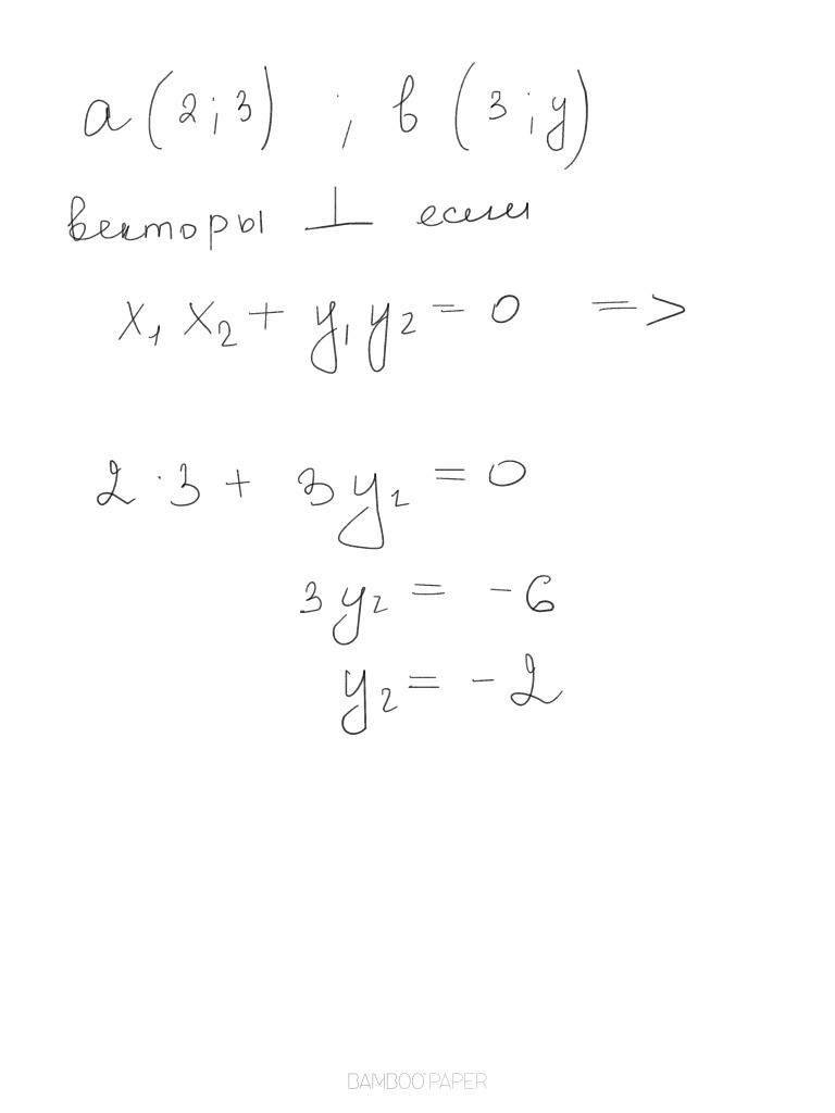
Дано вектори a(2;3) і b(3;y). При якому значенні y ці вектори перпендикулярні?

Ответы

Ответ дал: KseniaHarlequin
0
решение данного задания
Приложения:
Ответ дал: massg
0
векторы перпендикулярны когда их скалярное произведение =0

для этого необходимо выполнение условия:

2*3 + 3*у = 0

3у = -6

у = -2
Приложения:
Вас заинтересует