Упростите выражение (x+2y) (x-y)+y(y-x) найдите его значение при x= √7, y=√5
пытаюсь решить, ничего не выходит, должно получиться 2, я сначала раскрыла скобки получила х^2 - ху + 2ху - 2y^2 + y^2 + xy
мб я не так раскрыла, ибо не то совсем получается
Ответы
Ответ дал:
0
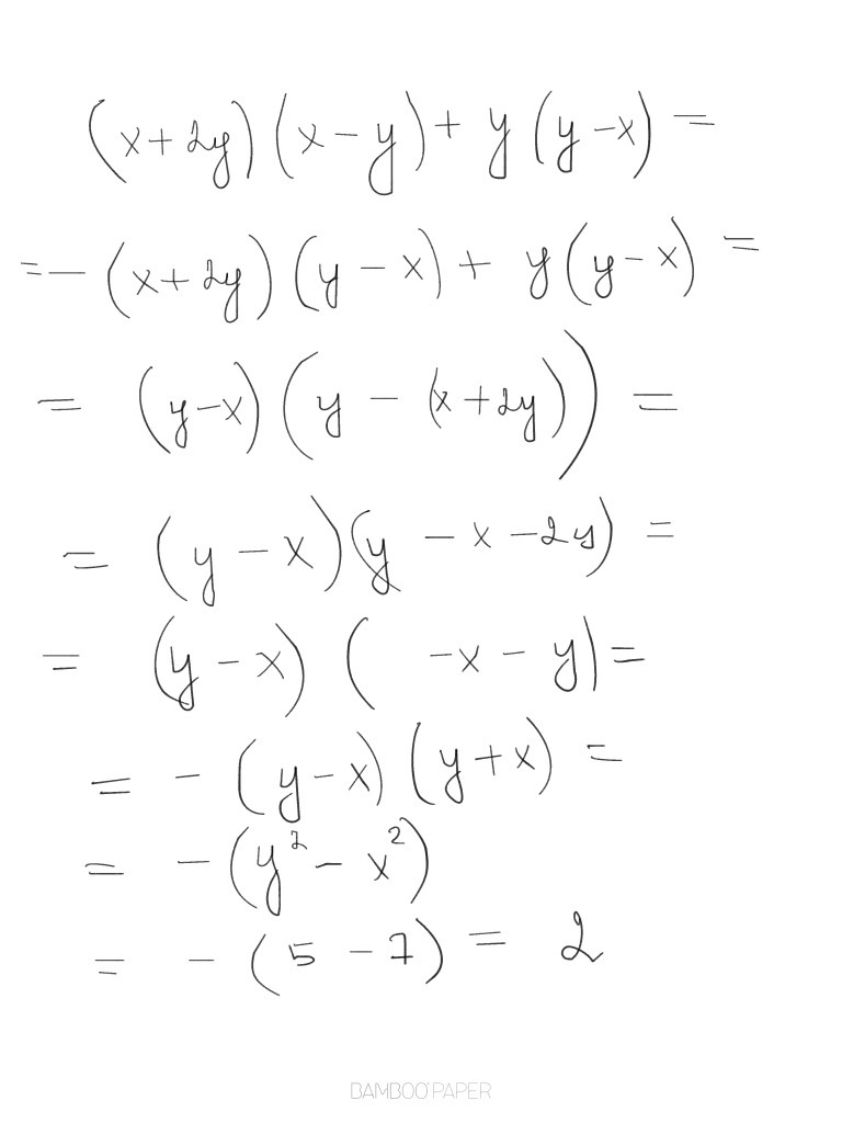
Решение данного выражения
Приложения:

Ответ дал:
0
раскрываем, получается:
х^2 - ху + 2ху - 2y^2 + y^2 - xy
Упрощаем:
х^2-y^2
Подставляем
(√7)^2-(√5)^2
7-5=2
х^2 - ху + 2ху - 2y^2 + y^2 - xy
Упрощаем:
х^2-y^2
Подставляем
(√7)^2-(√5)^2
7-5=2
Приложения:

Ответ дал:
0
Огромное спасибо, оказывается, я совсем с ума сошла, поменяла знак перед скобками, хотя стоял плюс :)
Вас заинтересует
2 года назад
7 лет назад
9 лет назад
10 лет назад