• Предмет: Алгебра
  • Автор: BULKAA
  • Вопрос задан 10 лет назад

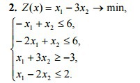
Решить задачи линейного программирования графическим методом.

Приложения:

Ответы

Ответ дал: Amigo3
0
Графики во вложении. Область допустимых значений х1(горизонтальная ось) и х2 (вертикальная ось) заштрихована. Минимальное значение z достигается по верхней границе заштрихованной области. Сорри, что поздно.
Приложения:
Ответ дал: Amigo3
0
Пишите, если будут вопросы.
Вас заинтересует