Помогите пожалуйста! Очень важная работа (не контрольлная и не экзамен!) для одменов
Приложения:

Ответы
Ответ дал:
0
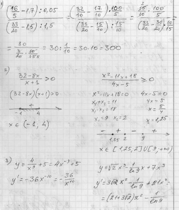
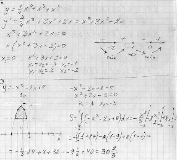
Держи ответы! Еще со вчера остались!
Приложения:



Вас заинтересует
2 года назад
7 лет назад
9 лет назад
10 лет назад