Ответы
Ответ дал:
0
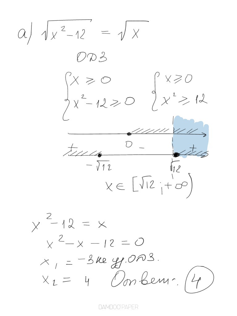
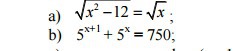
Решение данных уравнений
Приложения:


Ответ дал:
0
Спасибо огромное)
Вас заинтересует
2 года назад
2 года назад
7 лет назад
7 лет назад
9 лет назад
10 лет назад