выручайте на носу переходной экзамен
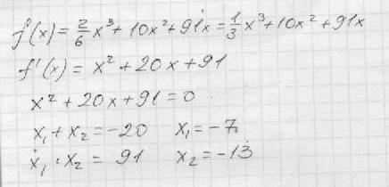
Решите уравнение F1(x)=0,
если F(x)= 26x^3+10x^2+91x
5 номер
Приложения:

Ответы
Ответ дал:
0
F'(x)=x^2+20x+91
x^2+20x+91=0
D=400-284=116
x^2+20x+91=0
D=400-284=116
Ответ дал:
0
огромное спасибо!
Ответ дал:
0
Ответы смотри ниже!!!!!!!!!
Приложения:

Ответ дал:
0
огромное спасибо
Вас заинтересует
2 года назад
2 года назад
7 лет назад
7 лет назад
9 лет назад
9 лет назад
10 лет назад