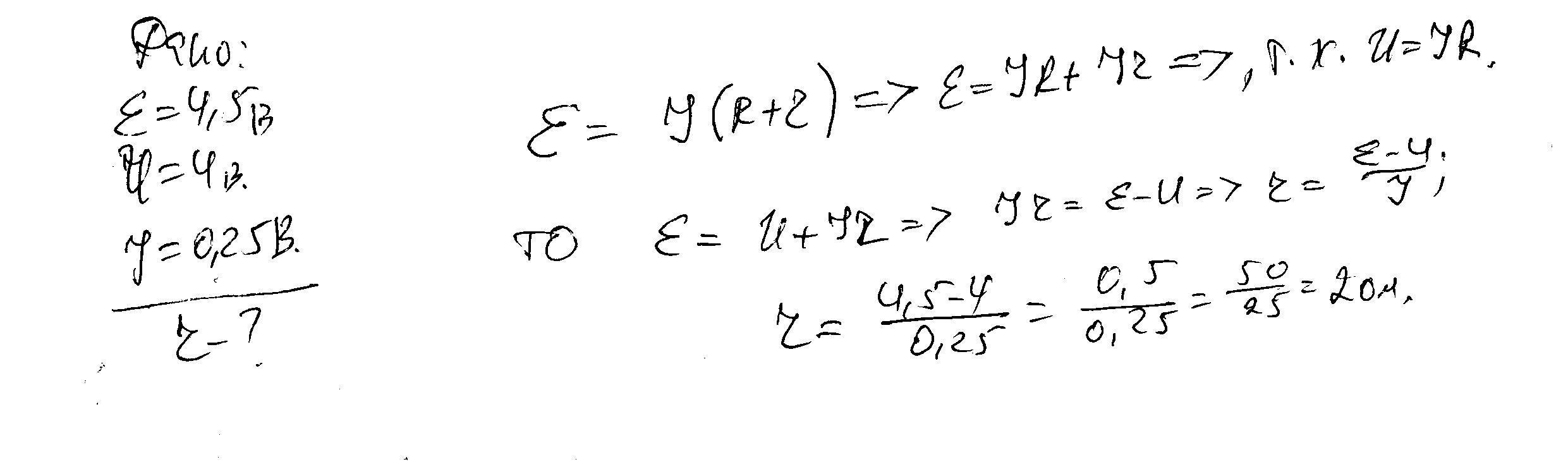
97. При подключении лампочки к батарее элементов с ЭДС 4,5 В вольтметр показал напряжение на лампочке 4 В, а амперметр – силу тока 0,25 А. Каково внутреннее сопротивление батареи?
Ответы
                                            Ответ дал: 
                                                                                    
                                        
                                            
                                                
                                                
                                                
                                                    0
                                                
                                            
                                        
                                    
                                        решение в скане......
                                    
                                                Приложения:
                    
                            
                                            Ответ дал: 
                                                                                    
                                        
                                            
                                                
                                                
                                                
                                                    0
                                                
                                            
                                        
                                    
                                        Можешь помочь еще с двумя задачами,очень нужно
                                    
                                        
                                        
                                
                                            Ответ дал: 
                                                                                    
                                        
                                            
                                                
                                                
                                                
                                                    0
                                                
                                            
                                        
                                    
                                        Покажите, может успею
                                    
                                        
                                        
                                
                                            Ответ дал: 
                                                                                    
                                        
                                            
                                                
                                                
                                                
                                                    0
                                                
                                            
                                        
                                    
                                        37. В однородном электрическом поле напряжённостью 20 кВ/м, направленной горизонтально, на нити висит бузиновый шарик массой 0,4 г. Шарику 
сообщили заряд и нить отклонилась на угол 150 от вертикали. Какой заряд получил шарик? Среда – воздух.
                                        
                                        
                                сообщили заряд и нить отклонилась на угол 150 от вертикали. Какой заряд получил шарик? Среда – воздух.
                                            Ответ дал: 
                                                                                    
                                        
                                            
                                                
                                                
                                                
                                                    0
                                                
                                            
                                        
                                    
                                        http://znanija.com/task/19117032
                                    
                                        
                                        
                                Вас заинтересует
                
                        2 года назад
                    
                
                        7 лет назад
                    
                
                        7 лет назад
                    
                
                        9 лет назад
                    
                
                        9 лет назад
                    
                
                        10 лет назад