• Предмет: Математика
  • Автор: nakotaa
  • Вопрос задан 10 лет назад

Решить систему уравнений

Приложения:

Ответы

Ответ дал: artalex74
0
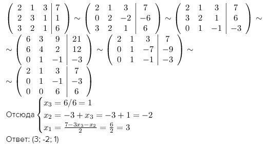
  left(begin{array}{ccc|c}2&1&3&7\2&3&1&1\3&2&1&6end{array}right) sim    left(begin{array}{ccc|c}2&1&3&7\0&2&-2&-6\3&2&1&6end{array}right) sim    left(begin{array}{ccc|c}2&1&3&7\3&2&1&6\0&1&-1&-3end{array}right) sim  \  sim    left(begin{array}{ccc|c}6&3&9&21\6&4&2&12\0&1&-1&-3end{array}right) sim left(begin{array}{ccc|c}2&1&3&7\0&1&-7&-9\0&1&-1&-3end{array}right) sim \ simleft(begin{array}{ccc|c}2&1&3&7\0&1&-1&-3\0&0&6&6end{array}right)
Отсюда begin{cases} x_3=6/6=1 \ x_2=-3+x_3=-3+1=-2 \ x_1= frac{7-3x_3-x_2}{2}= frac{6}{2}=3   end{cases}
Ответ: (3; -2; 1)
Приложения:
Вас заинтересует