• Предмет: Математика
  • Автор: skyline1998
  • Вопрос задан 10 лет назад

помогите решить игтерграл.даю 45 срочно!!!:)

Приложения:

Ответы

Ответ дал: SergFlint
0
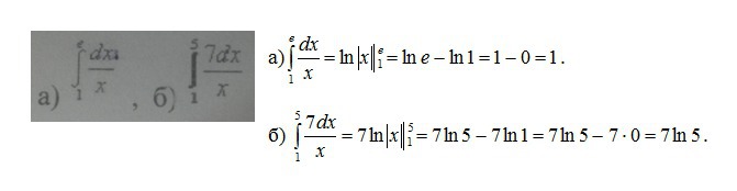
Решение в приложении.
Приложения:
Вас заинтересует