Ответы
Ответ дал:
0
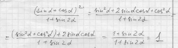
Ответ смотри нижеееееееееее
Приложения:

Вас заинтересует
7 лет назад
9 лет назад
9 лет назад
10 лет назад