• Предмет: Алгебра
  • Автор: Bani6
  • Вопрос задан 10 лет назад

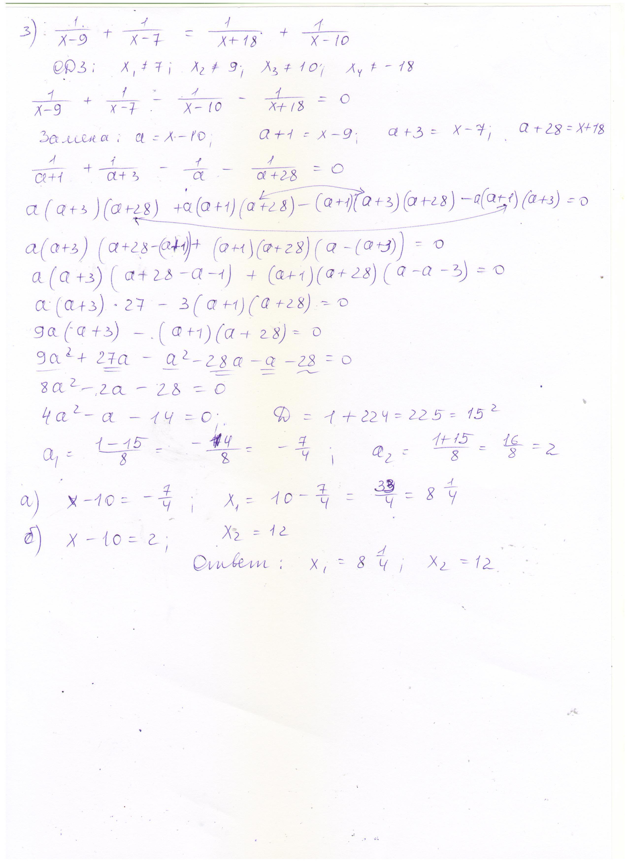
нужны шаги решения уравнения

Приложения:

Ответы

Ответ дал: alfabetta
0
смотри приложенный файл
Приложения:
Вас заинтересует