• Предмет: Алгебра
  • Автор: Aneaf02
  • Вопрос задан 10 лет назад

Помогите пожалуйста очень нужно!!!!!)

Приложения:

Ответы

Ответ дал: utyaninazhenya
0
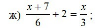
умножим все части уравнение на 6. получим
х+7+12=2х х=19
Ответ дал: Aneaf02
0
а где вы взяли 19?
Ответ дал: utyaninazhenya
0
7+12
Ответ дал: utyaninazhenya
0
7+12=2x-x x=19
Ответ дал: Aneaf02
0
Все я поняла спасибо)
Вас заинтересует