• Предмет: Алгебра
  • Автор: 1337Timur
  • Вопрос задан 10 лет назад

Найти интегралы,задание по алгебре

Приложения:

Ответы

Ответ дал: NNNLLL54
0
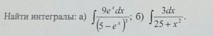
1); ; int  frac{9e^{x}, dx}{(5-e^{x})^3} =[, t=5-e^{x}; ,; dt=-e^{x}, dx, ]=\\=-9int  frac{dt}{t^3} =-9cdot  frac{t^{-2}}{-2}+C=frac{9}{2t^2}+C=frac{9}{2(5-e^{x})^2}+C\\2); ; int  frac{3, dx}{25+x^2} =3int  frac{dx}{5^2+x^2} =frac{3}{5}cdot arctg frac{x}{5} +C
Ответ дал: Vasily1975
0
1) Пусть e^x=t ⇒x=ln(t)⇒dx=dt/t⇒∫9*e^x*dx/(5-e^x)³=9*∫dt/(5-t)³=
-9*∫d(5-t)/(5-t)³=9/(2*(5-t)²=9/(2*(5-e^x)²+C.

2) ∫3*dx/(25+x²)=3*∫dx/(5²+x²)=3/5*arctg(x/5)+C.
Ответ дал: 1337Timur
0
Огромное спасибо за ваше старание,но пожалуй я отмечу лучший ответ который находится выше,он более понятнее и красив)
Ответ дал: Vasily1975
0
Это ваше право. Желаю удачи!
Вас заинтересует