• Предмет: Алгебра
  • Автор: Sona2016
  • Вопрос задан 10 лет назад

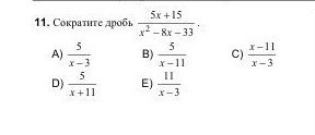
Решите плииз задание ниже

Приложения:

Ответы

Ответ дал: eugeke
0
 frac{5x+15}{x^2-8x-33} = frac{5(x+3)}{(x-11)(x+3)}= frac{5}{x-11}  \\
x^2-8x-33=0\
D=64+132=196; sqrt D=14\\
x_{1/2}= frac{8pm14}{2}\\
x_1=11;  x_2=-3\\
boxed{x^2-8x-33=(x-11)(x+3)}
Вас заинтересует