• Предмет: Математика
  • Автор: sunowl
  • Вопрос задан 10 лет назад

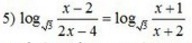
Пожалуйста, решите уравнение

Приложения:

Ответы

Ответ дал: ШереметИрина
0
))))))))))))))))))))))))))))))))))))))))))))))))))))))))))
Приложения:
Ответ дал: sunowl
0
Огромное спасибо!
Ответ дал: ШереметИрина
0
))))
Вас заинтересует