• Предмет: Математика
  • Автор: puma9872
  • Вопрос задан 10 лет назад

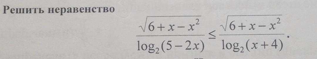
Решить неравенство. Срочно, пожалуйста, нужна ваша помощь

Приложения:

Ответы

Ответ дал: Crisa1
0
Я вам скину пользователя он в этом разберется не жалуйтесь
Вас заинтересует