Ответы
Ответ дал:
0
Поясняю:
лист 1
рассматриваем 2варианта у = 0 и "у не равен 0"
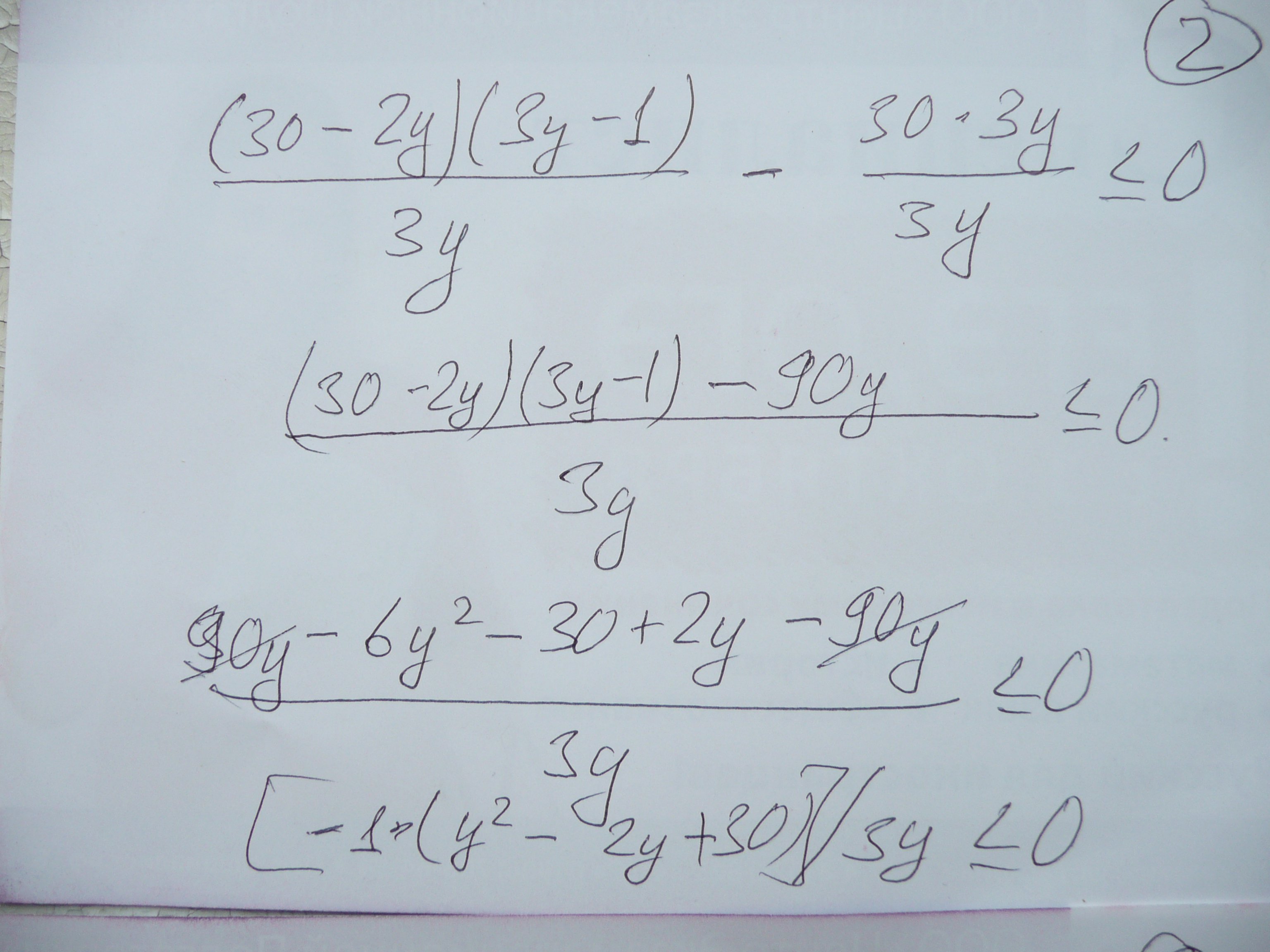
лист 2 - всё просто
лист 3 - занема знака неравенства
и дискриминант меньше 0 след-но нет корней, т.е. числител всегда больше 0
и тогда только знаменатель меняет знак
лист 4 - без комментариев
Надеюсь, всё понятно, если есть вопросы, то пишите.
лист 1
рассматриваем 2варианта у = 0 и "у не равен 0"
лист 2 - всё просто
лист 3 - занема знака неравенства
и дискриминант меньше 0 след-но нет корней, т.е. числител всегда больше 0
и тогда только знаменатель меняет знак
лист 4 - без комментариев
Надеюсь, всё понятно, если есть вопросы, то пишите.
Приложения:




Вас заинтересует
2 года назад
2 года назад
7 лет назад
7 лет назад
9 лет назад