• Предмет: Математика
  • Автор: buksha2011
  • Вопрос задан 10 лет назад

помогите решить по бытрее
найти длину вектора и его направляющие косинусы a=5i+j-4k

Ответы

Ответ дал: artalex74
0
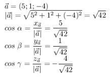
vec{a}=(5;1;-4)\ |vec{a}|=sqrt{5^2+1^2+(-4)^2}= sqrt{42} \ 
cos alpha = dfrac{x_{vec{a}}}{|vec{a}|}=  dfrac{5}{ sqrt{42} } \
cos  beta = dfrac{y_{vec{a}}}{|vec{a}|}=  dfrac{1}{ sqrt{42} } \
cos gamma = dfrac{z_{vec{a}}}{|vec{a}|}= - dfrac{4}{ sqrt{42} }
Приложения:
Вас заинтересует