• Предмет: Математика
  • Автор: finlab777
  • Вопрос задан 10 лет назад

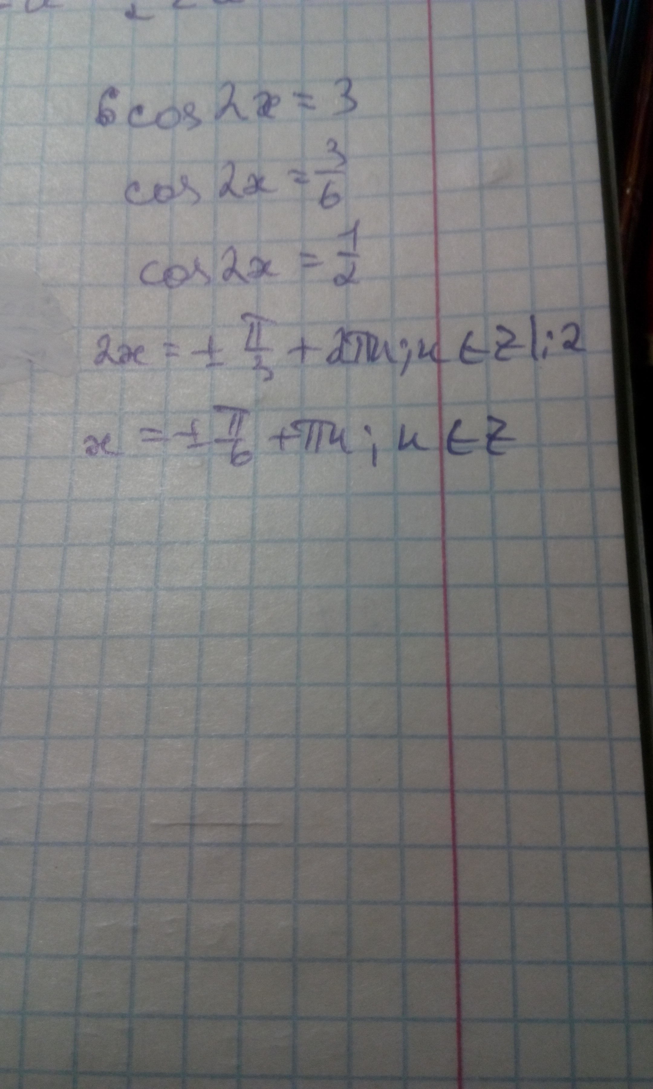
Решите уравнение 6cos2x=3

Ответы

Ответ дал: irinan2014
0
Решение смотри во вложении.
Приложения:
Ответ дал: swater11111
0
6cos2x=3 \ cos2x= frac{1}{2}  \ 2cos^{2} x-1=frac{1}{2} \2cos^{2} x=frac{3}{2} \ cos^{2} x= frac{3}{4}  \ cosx= frac{ sqrt{3} }{2}  \ x=бarccos(frac{ sqrt{3} }{2} )+2 pi n \ x=б frac{ pi }{6} +2 pi n
Приложения:
Вас заинтересует