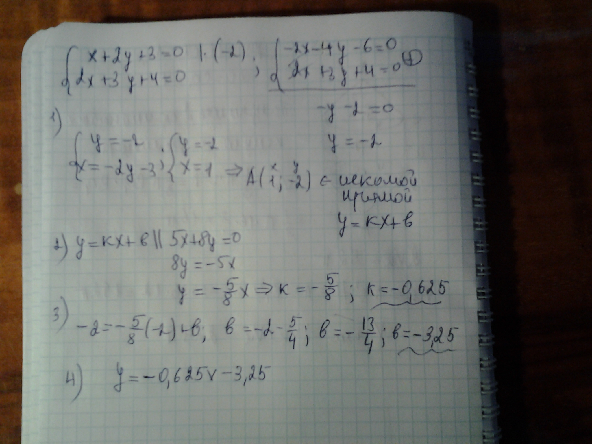
найти уравнение проходящий через точку пересечения прямых х+2у+3=0 и 2х+3у+4=0 и параллельную прямой 5х+8у=0
плиз нужно для экзамена))
Ответы
Ответ дал:
0
Применен общий вид уравнения прямой, способ сложения
Приложения:


Ответ дал:
0
а где именно оошиблась
Ответ дал:
0
У точки А х=1, у=-2. А я вместо х подставила тоже -2
Ответ дал:
0
спасибо)
Ответ дал:
0
помоги еще с одним заданием
Ответ дал:
0
Найти уравнение перпендикулярных прямой 2х-у+5=0, проходящий через точки пересечения с данной прямой с осями координат соответственно
Вас заинтересует
2 года назад
7 лет назад
9 лет назад
10 лет назад