• Предмет: Алгебра
  • Автор: Aziza69
  • Вопрос задан 10 лет назад

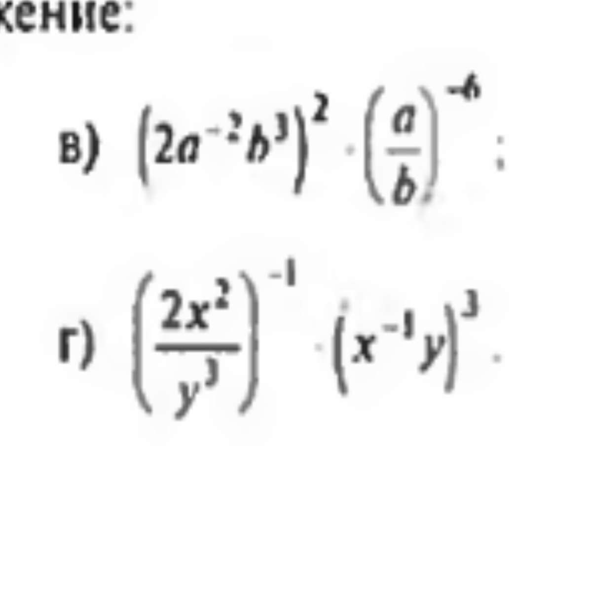
Решите пожалуйста "в" и "г"

Приложения:

Ответы

Ответ дал: ule4kadyagilev
0
в) ...=2a^{-4} b^{6} frac{ a^{-6} }{ b^{-6} } =  frac{2 b^{6} b^{6}}{ a^{6} a^{4}  } =2 frac{ b^{12} }{ a^{10} }

г) ....= frac{2  x^{-2}  }{ y^{-3} } x^{-3} y^{3} =2 x^{-5}
Вас заинтересует