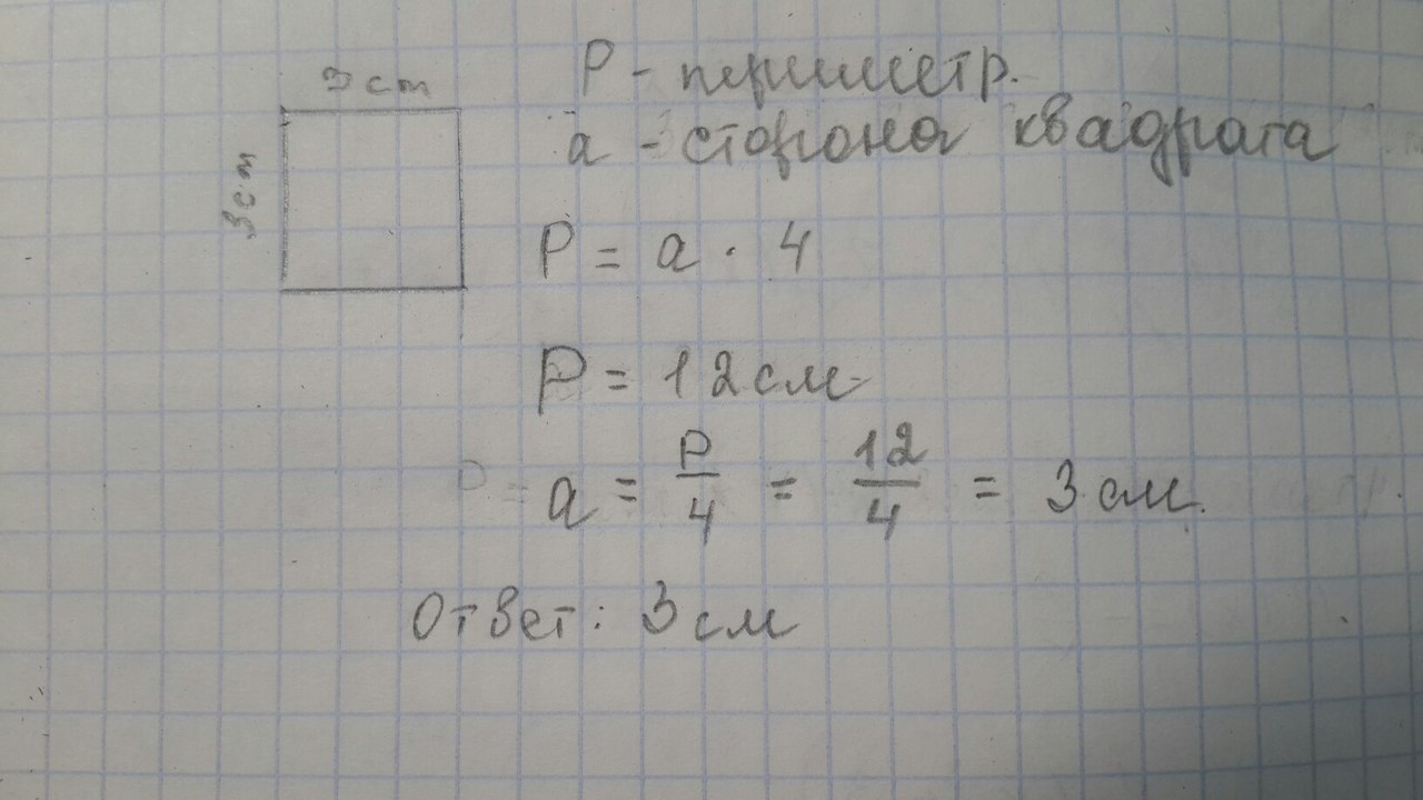
у Иры 12 пакетиков семян однолетних цветов и 8 пакетиков семян многолетних цветов. Ира посадила семена из 9 пакетиков. сколько пакетиков с семенами осталось у Иры? периметр квадрата 12см. чему равна сторона квадрата. начерти этот квадрат
Ответы
Ответ дал:
0
12+8=20(пакетиков семян) - всего
20-9=11(пакетиков семян) - осталось у Иры
Ответ: 11
20-9=11(пакетиков семян) - осталось у Иры
Ответ: 11
Приложения:

Вас заинтересует
2 года назад
2 года назад
7 лет назад
7 лет назад
9 лет назад