Ответы
Ответ дал:
0
sin2x = 2sinx * cosx
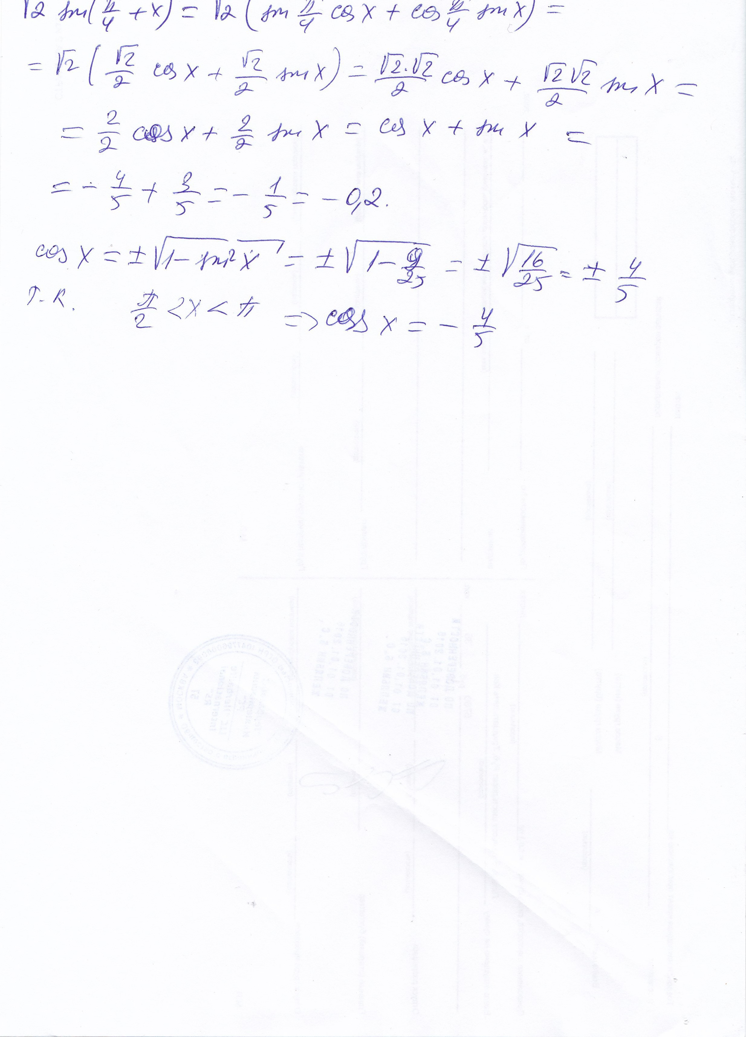
Если sinx = 3/5, то cosx = кв. корень (1 - 9/25) = 4/5. Но x ( П/2; П) , поэтому cosx = -4/5.
sin2x = 2*3/5*(-4/5) = -24/25.
Если sinx = 3/5, то cosx = кв. корень (1 - 9/25) = 4/5. Но x ( П/2; П) , поэтому cosx = -4/5.
sin2x = 2*3/5*(-4/5) = -24/25.
Ответ дал:
0
Откуда Вы взяли синус двойного угла?
Ответ дал:
0
Решение данного задания
Приложения:

Вас заинтересует
2 года назад
2 года назад
7 лет назад
9 лет назад
10 лет назад