Помогите пожалуйста решить дробно рациональное уравнение.
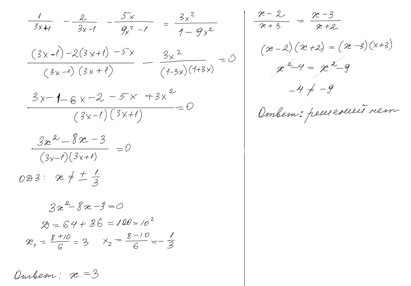
1/3x+1 - 2/3x-1 - 5x/9x^2-1=3x^2/1-9x^2 и ещё одно x-2/x+3=x-3/x+2
Ответы
Ответ дал:
0
Решение в прикрепленном файле.
Приложения:
Вас заинтересует
3 года назад
8 лет назад
8 лет назад
10 лет назад
10 лет назад
10 лет назад
10 лет назад