• Предмет: Математика
  • Автор: Lubaxa001
  • Вопрос задан 10 лет назад

найти общее решение диф ур_я помогите плизз

Приложения:

Ответы

Ответ дал: Аноним
0
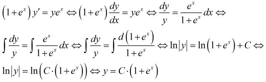
решение находится в файле
Приложения:
Вас заинтересует