• Предмет: Алгебра
  • Автор: Аноним
  • Вопрос задан 10 лет назад

1-ый и желательно второй,пожалуйста!

Приложения:

Ответы

Ответ дал: mahhysik
0
Первый решила, скоро будет второй
Приложения:
Ответ дал: математик2011
0
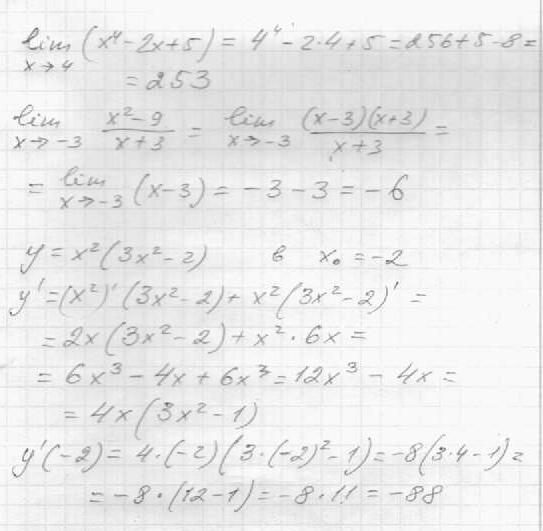
Смотри ответы ниже во вложении
Приложения:
Ответ дал: Аноним
0
спасибо большооое!!!
Вас заинтересует