Ответы
Ответ дал:
0
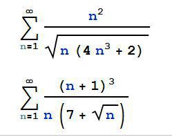
оба ряда сходятся по следствию из необходимого признака сходимости, который звучит так: если lim an≠0 при n⇒∞, то ряд числовой расходится.
У нас в первом ряде lim n^2/√n(4n^3+2)=1/√(4+2/n^3)=1/2 ≠0 при n⇒∞. мы здесь числитель и знаменатель разделили на n^2
Во втором ряде lim an=(∞/∞) по правилу Лопиталя = lim (n+1)^2/1/(2√n)=
lim2√n·(n+1)^2 = ∞ ≠ 0, ⇒ряд расходится
У нас в первом ряде lim n^2/√n(4n^3+2)=1/√(4+2/n^3)=1/2 ≠0 при n⇒∞. мы здесь числитель и знаменатель разделили на n^2
Во втором ряде lim an=(∞/∞) по правилу Лопиталя = lim (n+1)^2/1/(2√n)=
lim2√n·(n+1)^2 = ∞ ≠ 0, ⇒ряд расходится
Вас заинтересует
2 года назад
2 года назад
7 лет назад
7 лет назад
10 лет назад
10 лет назад