Очень нужна помощь срочно.Очень буду благодарен вам если сможете помочь мне с ними, зарание огромное спасибо^_^
Приложения:



Ответы
Ответ дал:
0
1
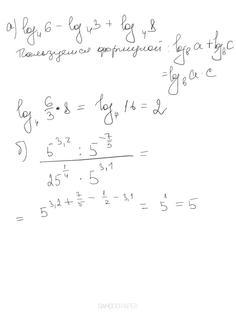
a)log(4)(6*8/3)=log(4)16=2
b)5^(3,2+1,4)/5^(0,5+3,1)=5^4,6/5^3,6=5
2
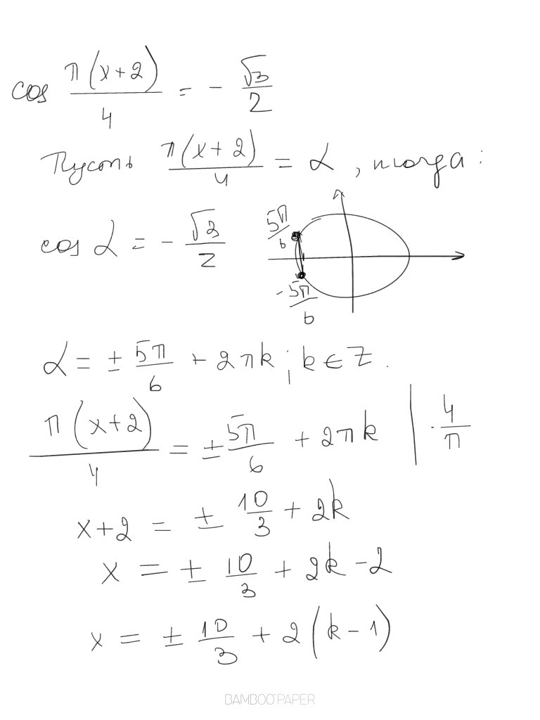
π(x+2)/4=-5π/6+2πn U π(x+2)/4=5π/6+2πk
x+2=-10/3+8n U x+2=10/3+8k
x=-16/3+8n,n∈z U x=4/3+8k,k∈z
3
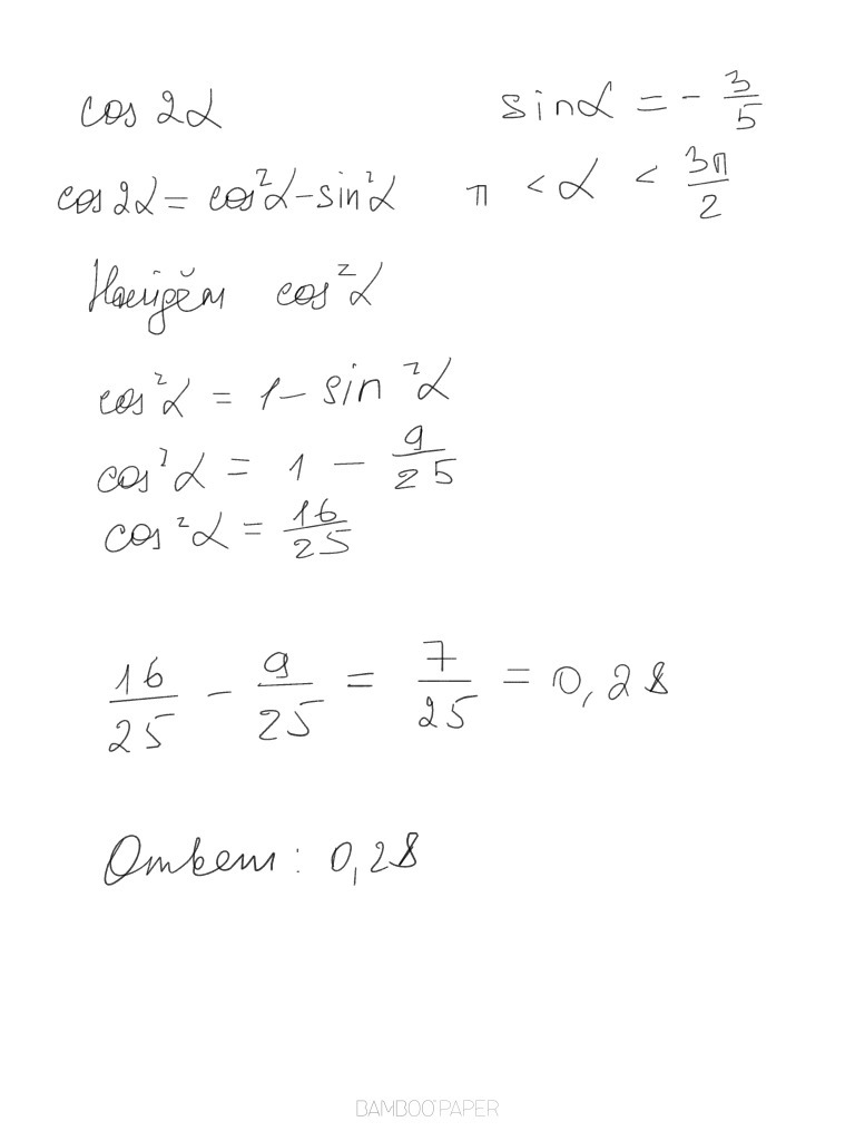
cos2a=1-2sin²a=1-2*9/25=1-18/25=7/25
4
Sсеч =1/2*2Rh=Rh=48
h=Rtg30=R/√3
R²/√3=48
R²=48√3
Sосн =πR²=48√3π
a)log(4)(6*8/3)=log(4)16=2
b)5^(3,2+1,4)/5^(0,5+3,1)=5^4,6/5^3,6=5
2
π(x+2)/4=-5π/6+2πn U π(x+2)/4=5π/6+2πk
x+2=-10/3+8n U x+2=10/3+8k
x=-16/3+8n,n∈z U x=4/3+8k,k∈z
3
cos2a=1-2sin²a=1-2*9/25=1-18/25=7/25
4
Sсеч =1/2*2Rh=Rh=48
h=Rtg30=R/√3
R²/√3=48
R²=48√3
Sосн =πR²=48√3π
Ответ дал:
0
Спасибо большое и вам^_^ так же помогли мне очень=)
Ответ дал:
0
Решение двух страниц
Приложения:




Ответ дал:
0
Спасибо большое!!^_^
Ответ дал:
0
Пожалуйста!
Вас заинтересует
2 года назад
2 года назад
7 лет назад
7 лет назад
9 лет назад
9 лет назад
10 лет назад