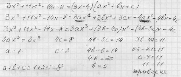
Если многочлен 3x^3+11x^2-14x-8 можно представить в виде (3x-4)(ax^2+bx+c), то сумма a+b+c равна
Ответы
Ответ дал:
0
Смотри ответы во вложении
Приложения:

Вас заинтересует
2 года назад
2 года назад
7 лет назад
9 лет назад
9 лет назад
10 лет назад