Ответы
Ответ дал:
0
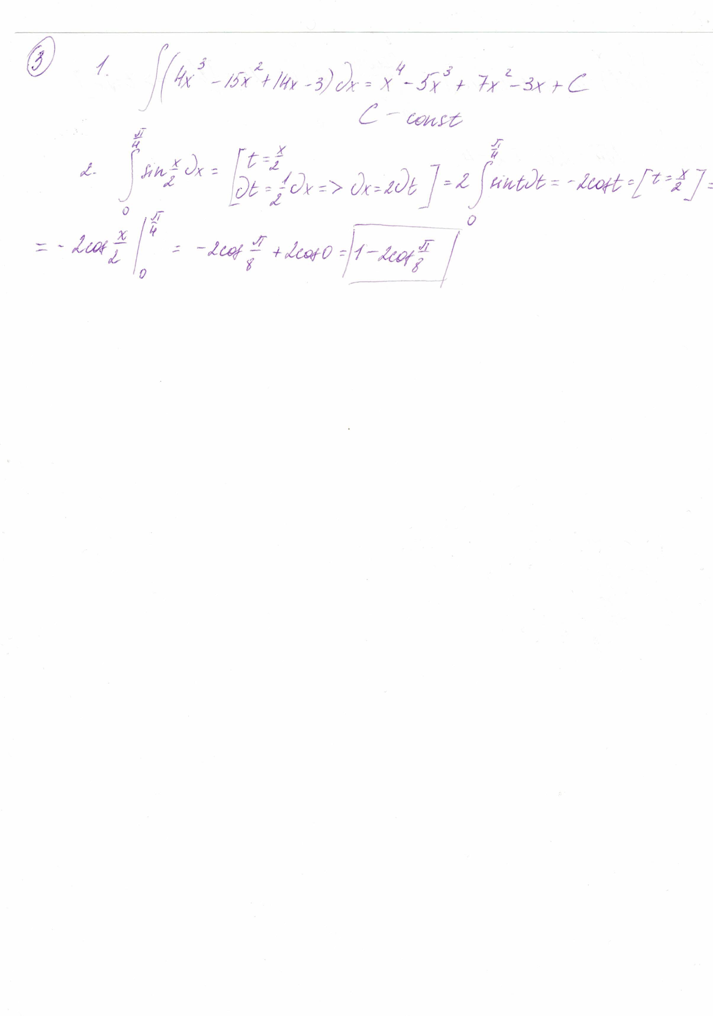
Решение приведено во вложениях.
Приложения:

Ответ дал:
0
Во втором номере 2-cos(PI/8).
Ответ дал:
0
*2-2cos(PI/8)
Вас заинтересует
2 года назад
2 года назад
7 лет назад
7 лет назад
9 лет назад
9 лет назад