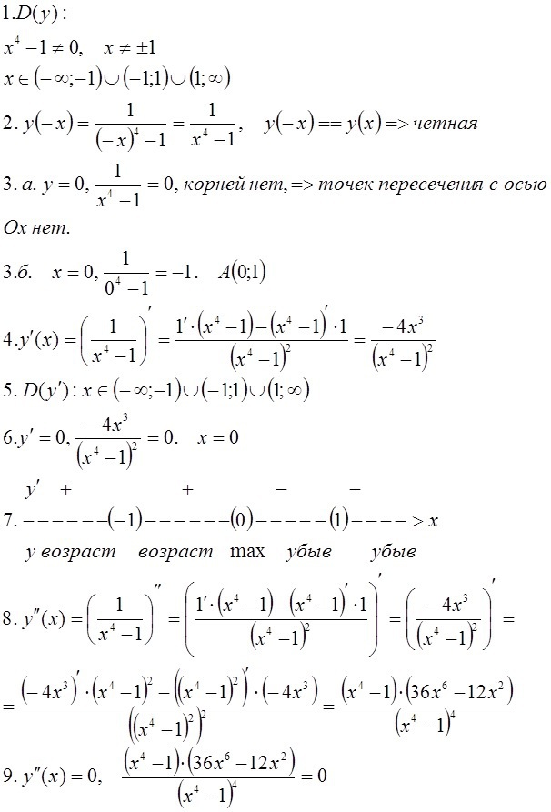
провести полное исследование функции и построить графики,найти точки перегиба(построить график)
y=
Ответы
Ответ дал:
0
решение во вложении----------------------
Приложения:


Вас заинтересует
2 года назад
7 лет назад
7 лет назад
9 лет назад
9 лет назад
10 лет назад