• Предмет: Алгебра
  • Автор: raevskaya68
  • Вопрос задан 10 лет назад

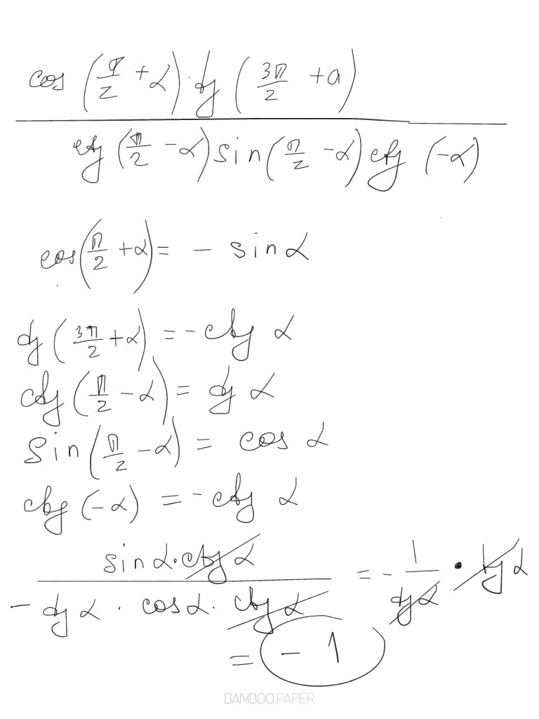
упростите выражение
cos(0.5п+a)tg(1.5п+a)ctg(0.5п-а)sin(0.5п-a)ctg(-a)

Ответы

Ответ дал: KseniaHarlequin
0
Решение данного выражения
Приложения:
Вас заинтересует