• Предмет: Алгебра
  • Автор: Lika35744w465y5
  • Вопрос задан 10 лет назад

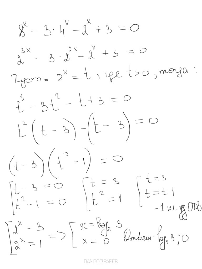
Как решать уравнение:8^x-3*4^x-2^x+3=0.Нужно решение,а не просто ответ.

Ответы

Ответ дал: KseniaHarlequin
0
Решение данного уравнения
Приложения:
Ответ дал: Lika35744w465y5
0
спасибо
Вас заинтересует