Ответы
Ответ дал:
0
15) Введём замену: 
Разделим числители первой и второй дробей на знаменатель:

После приведения подобных имеем:

Приведём к общему знаменателю:

или
Решения этого неравенства:
t ≤ 1.
5 < t <7.
Обратная замена:



Разделим числители первой и второй дробей на знаменатель:
После приведения подобных имеем:
Приведём к общему знаменателю:
или
Решения этого неравенства:
t ≤ 1.
5 < t <7.
Обратная замена:
Ответ дал:
0
Решение в прикрепленном файле.
Приложения:
Ответ дал:
0
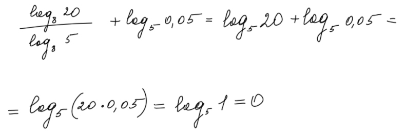
а как получилось log 20 по основанию 5?
Ответ дал:
0
Логарифм по основанию a можно преобразовать в логарифм по другому основанию c: log(a,b) = log(c,a) / log(c,b). Вводим новое основание 5 и после сокращений получаем log 20 по основанию 5.
Ответ дал:
0
спасибо
Вас заинтересует
3 года назад
3 года назад
8 лет назад
8 лет назад
10 лет назад
10 лет назад
10 лет назад