• Предмет: Математика
  • Автор: dbnfkzkz
  • Вопрос задан 10 лет назад

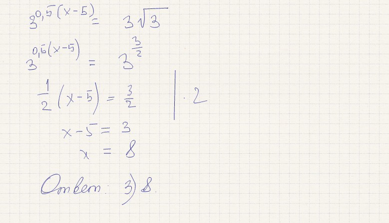
3^0,5(x-5)=3*корень из 3
Ответы:1)-8
2)2
3)8

Ответы

Ответ дал: skvrttt
0
3^{0,5(x-5)}=3sqrt{3} textless  = textgreater  3^{0,5(x-5)}=3^{1+frac{1}{2}}\0,5x=1frac{1}{2}+2,5\x=frac{4}{0,5}=8

Ответ: 3) – 8. 
Ответ дал: KseniaHarlequin
0
Решение данного задания
Приложения:
Вас заинтересует