• Предмет: Алгебра
  • Автор: raevskaya68
  • Вопрос задан 10 лет назад

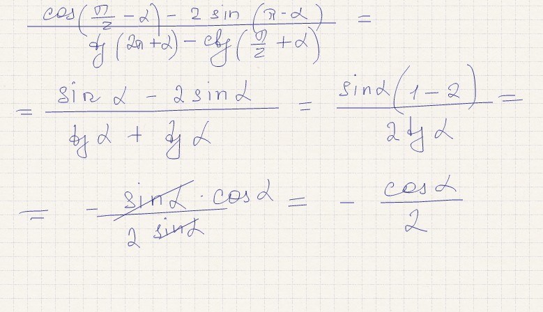
упростите выражение
cos(п2-а)-2sin(п-а)/tg(2п+а)-ctg(0.5п+а)

Ответы

Ответ дал: KseniaHarlequin
0
Если верно переписала задание, то должно быть как-то так
Приложения:
Вас заинтересует