• Предмет: Алгебра
  • Автор: ksenia19991701
  • Вопрос задан 10 лет назад

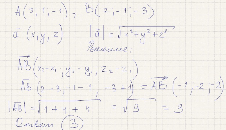
Чему равена длина вектора AB,если A(3;1;-1),B (2;-1;-3)

Ответы

Ответ дал: KseniaHarlequin
0
Решение данной задачи
Приложения:
Вас заинтересует