Ответы
Ответ дал:
0
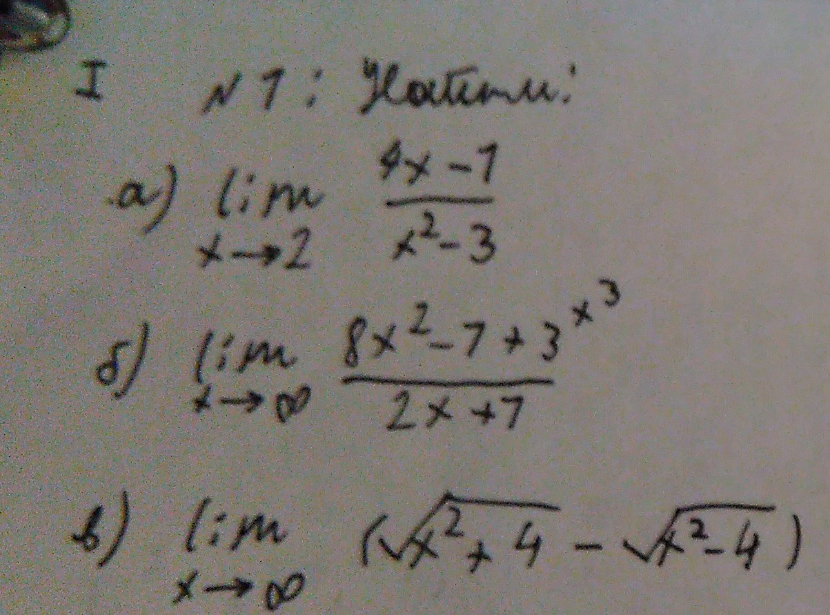
(4x-1)/(x²-3)--------------- (4·2-1)/(2²-3)=7/1=7
при x-----2
(8x²-7+3^(x³)/(2x+7)--------------- ∞-0+∞=∞
при x-----∞
(√(x²+4)-√(x²-4))·(√(x²+4)+√(x²-4))
(√(x²+4)-√(x²-4))----------------____________________________ ---------
при x-----∞ (√(x²+4)+√(x²-4)) при x--∞
((x²+4)-(x²-4)) 8
______________------------ ________=0
(√(x²+4)+√(x²-4)) при x--∞ ∞
при x-----2
(8x²-7+3^(x³)/(2x+7)--------------- ∞-0+∞=∞
при x-----∞
(√(x²+4)-√(x²-4))·(√(x²+4)+√(x²-4))
(√(x²+4)-√(x²-4))----------------____________________________ ---------
при x-----∞ (√(x²+4)+√(x²-4)) при x--∞
((x²+4)-(x²-4)) 8
______________------------ ________=0
(√(x²+4)+√(x²-4)) при x--∞ ∞
Вас заинтересует
2 года назад
2 года назад
8 лет назад
8 лет назад
10 лет назад
10 лет назад
10 лет назад