Ответы
Ответ дал:
0
1) Вместо х подставляем 2. Никаких неопределённостей нет.
Ответ: 7
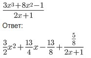
2) Подставляя вместо х бесконечность, имеем неопределенность бесконечность на бесконечность.
Делим числитель на знаменатель в столбик.
Результат на скриншоте.
Теперь, подставив вместо х бесконечность, в ответе тоже получим бесконечность.
Этот предел также можно было найти с помощью правила Лопиталя.
3) Имеем неопределенность бесконечность-бесконечность.
Домножаем выражение на ему сопряженное.



Ответ: 0
Ответ: 7
2) Подставляя вместо х бесконечность, имеем неопределенность бесконечность на бесконечность.
Делим числитель на знаменатель в столбик.
Результат на скриншоте.
Теперь, подставив вместо х бесконечность, в ответе тоже получим бесконечность.
Этот предел также можно было найти с помощью правила Лопиталя.
3) Имеем неопределенность бесконечность-бесконечность.
Домножаем выражение на ему сопряженное.
Ответ: 0
Приложения:
Вас заинтересует
3 года назад
3 года назад
8 лет назад
10 лет назад
10 лет назад
10 лет назад