Ответы
Ответ дал:
0
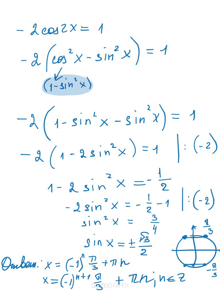
-2cos2x=1 <=> cos2x=-1/2 <=> 2x=+-arccos(-1/2)+2pi*k, k£Z <=> 2x=+-(pi-arccos1/2)+2pi*k <=> 2x=+-2pi/3+2pi*k | : 2 <=>
ответ: x=+-pi/3+pi*k, k£Z.
ответ: x=+-pi/3+pi*k, k£Z.
Ответ дал:
0
Решение данного уравнения
Приложения:

Вас заинтересует
2 года назад
7 лет назад
7 лет назад
9 лет назад
9 лет назад
10 лет назад