• Предмет: Математика
  • Автор: bizon2017
  • Вопрос задан 10 лет назад

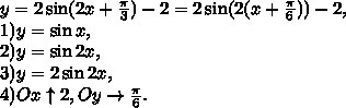
Построить график функций
у=2sin(x-п/3)

Ответы

Ответ дал: Алёнчик55555555
0
Как-то так если что то случится оброщайся


Приложения:
Вас заинтересует