• Предмет: Алгебра
  • Автор: somnastik
  • Вопрос задан 10 лет назад

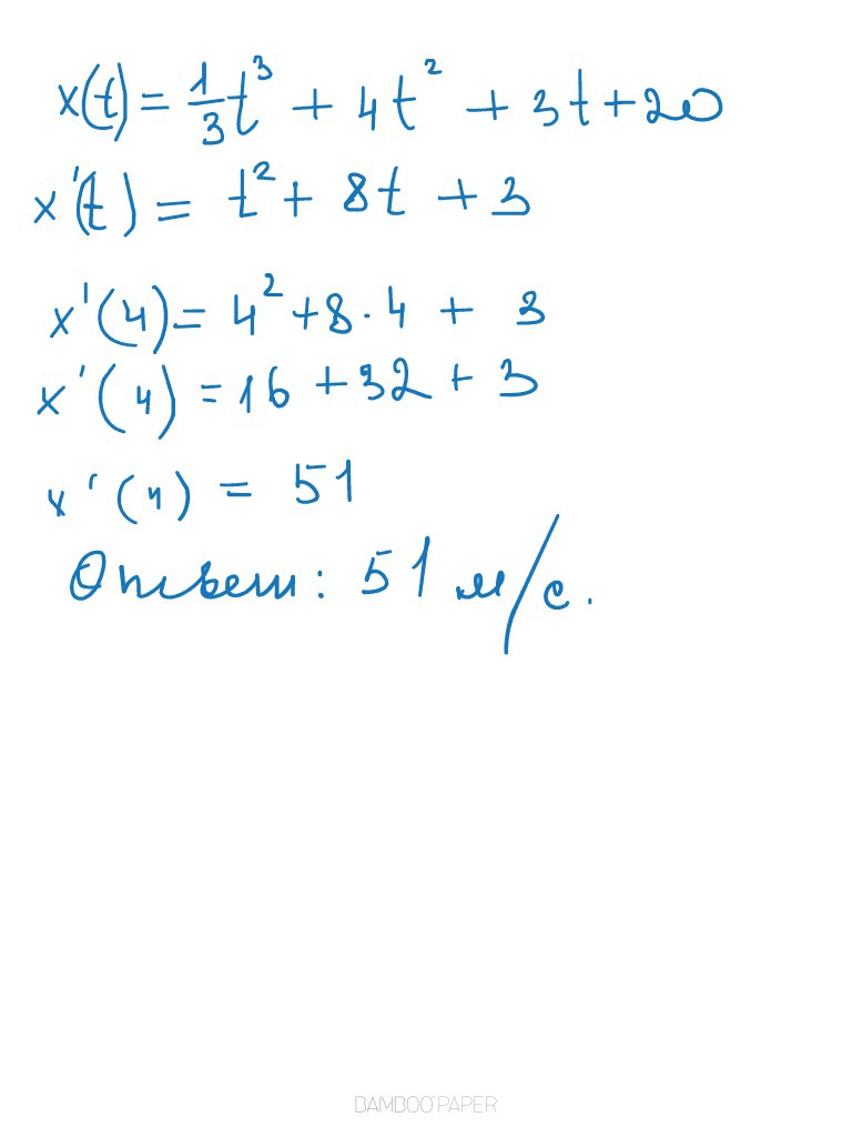
материальная точка движется прямолинейно по закону x t 1/3t3+4t2+3t+20
(где x — расстояние от точки отсчета в метрах, t — время в секундах,
измеренное с начала движения). Найдите ее скорость (в м/с) в момент времени t=4 с.

Ответы

Ответ дал: KseniaHarlequin
0
Решение данного задания
Приложения:
Ответ дал: KseniaHarlequin
0
возможно. Смотря что там )
Ответ дал: somnastik
0
даны векторы а 2 -1 4 и в 5,-2,1 найдите с= -2а+в
Ответ дал: somnastik
0
ну что
Ответ дал: KseniaHarlequin
0
создайте вопрос - и я дам ответ. Мне некуда его вписать
Ответ дал: somnastik
0
http://znanija.com/task/19123073 все
Вас заинтересует