• Предмет: Математика
  • Автор: Аноним
  • Вопрос задан 10 лет назад

Помогите решить логарифмическое уравнение, пожалуйста

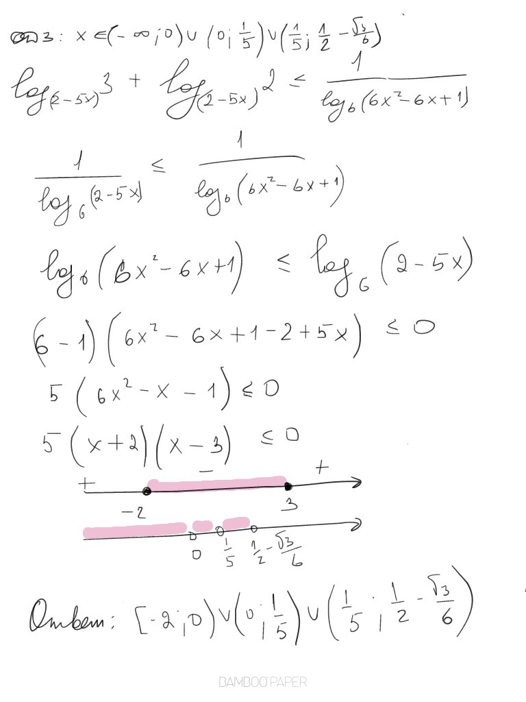
Приложения:

Ответы

Ответ дал: blad3518
0
кентюююююююююююююююююююююююююююююю
Приложения:
Ответ дал: KseniaHarlequin
0
Неверно определили ОДЗ
Ответ дал: blad3518
0
И как верно было бы
Ответ дал: KseniaHarlequin
0
Вы просто подставьте 0,5, которая является у Вас решением в самый первый логарифм
Ответ дал: Аноним
0
там в самом первом пункте в одз должно быть х<0,4, а не x>0,4, вроде
Ответ дал: blad3518
0
да это ладно
Ответ дал: KseniaHarlequin
0
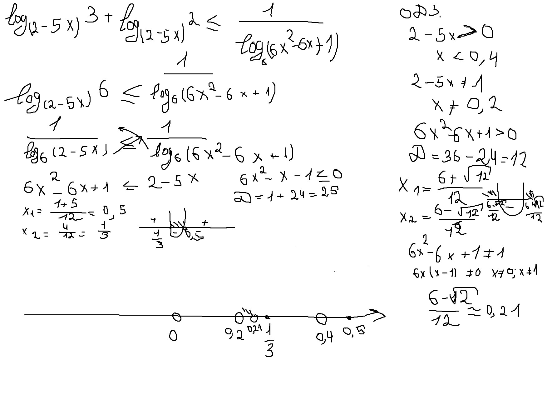
Перерешала более внимательно
Приложения:
Ответ дал: blad3518
0
В конце корни не правильно нашла , посмотри
Ответ дал: KseniaHarlequin
0
согласна, забыла поделить на 6
Ответ дал: KseniaHarlequin
0
Ответ: [-1/3;0)U(0;1/5)U(1/5;1/2-sqrt3/6)
Ответ дал: blad3518
0
Молодец)
Ответ дал: KseniaHarlequin
0
да чтоб я без Вас делала? Одна голова хорошо - две лучше.
Вас заинтересует