• Предмет: Алгебра
  • Автор: YALO001
  • Вопрос задан 11 лет назад

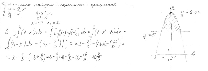
вычислить площадь фигуры ограниченной линиями у=9-х в квадрате,у=5

Ответы

Ответ дал: artem8222
0

Сначала найдем границы интегрирования, для этого приравняем функции9-x^2=5 \ x^2=4 \ x_1=2  x_2=-2

Составим интеграл с пределами интегрирования от -2 до +2intlimits^{+2}_{-2} {(9-x^2-5)} , dx= \ =intlimits^{+2}_{-2} {(4-x^2)} , dx= \ =intlimits^{+2}_{-2} {4} , dx-intlimits^{+2}_{-2} {x^2} , dx=4x-frac{x^3}{3}= \ =4*2-4*(-2)-frac{2^3}{3}+frac{(-2)^3}{3}=10,7

 

 

Ответ дал: Ellenochka
0

____________________________________

Приложения:
Вас заинтересует