Ответы
Ответ дал:
0
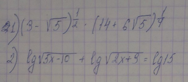
(3-√5)^1/2*[(3+√5)²]^1/4=(3-√5)^1/2*(3+√5)^1/2=(9-5)^1/2=4^1/2=2
{5x-10>0⇒x>2
{2x+9>0⇒x>-4,5
x∈(2;∞)
lg√[(5x-10)(2x+9)]=lg15
√[(5x-10)(2x+9)]=15
(5x-10)(2x+9)=225
10x²+45x-20x-90-225=0
10x²+25x-315=0
2x²+5x-63=0
D=25+504=529
x1=(-5-23)/4=-7не удов усл
x2=(-5+23)/4=4,5
{5x-10>0⇒x>2
{2x+9>0⇒x>-4,5
x∈(2;∞)
lg√[(5x-10)(2x+9)]=lg15
√[(5x-10)(2x+9)]=15
(5x-10)(2x+9)=225
10x²+45x-20x-90-225=0
10x²+25x-315=0
2x²+5x-63=0
D=25+504=529
x1=(-5-23)/4=-7не удов усл
x2=(-5+23)/4=4,5
Ответ дал:
0
Спасибо)
Вас заинтересует
3 года назад
3 года назад
8 лет назад
8 лет назад
10 лет назад
10 лет назад
10 лет назад