• Предмет: Алгебра
  • Автор: anastasia29042002
  • Вопрос задан 9 лет назад

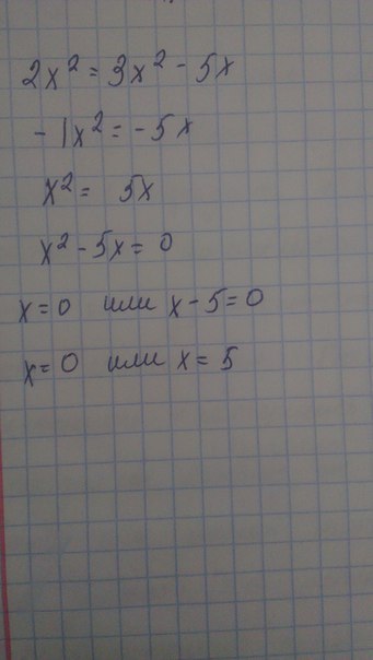
Решите уравнение
2х²:3х-5=х

Ответы

Ответ дал: sasha19970808
0
2х²:3х-5=х
2x:3=5+x
2x=3*(5+x)
2x=15+3x
3x-2x=-15
x=-15
Ответ дал: Nastykk
0
hhhhhhhhhhhhhhhhhhhhhhhhhhhhhhhhh
Приложения:
Вас заинтересует