Ответы
Ответ дал:
0
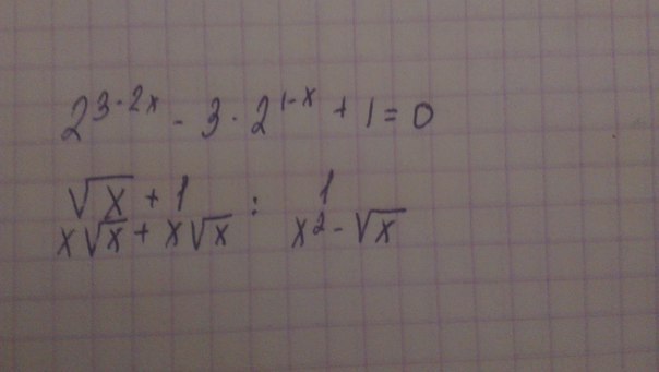
2³⁻²ˣ - 3*2¹⁻ˣ +1 =0
степени вычитаются при делении:
2³/2²ˣ - 3 * ( 2¹/2ˣ ) +1 =0
замена переменной : 2ˣ=t
8/t² - 6/t +1=0
t²≠0 ; t ≠0
(8-6t ) / t² +1=0 | * t²
8-6t + t²= 0
t²-6t +8 =0
D= 36-4*1*8 = 4 =2²
t₁= (6-2)/2 = 4/2 = 2
t₂= (6+2)/2 = 8/2 =4
2ˣ =2
2ˣ= 2¹
х₁=1
2ˣ=4
2ˣ=2²
х₂=2
степени вычитаются при делении:
2³/2²ˣ - 3 * ( 2¹/2ˣ ) +1 =0
замена переменной : 2ˣ=t
8/t² - 6/t +1=0
t²≠0 ; t ≠0
(8-6t ) / t² +1=0 | * t²
8-6t + t²= 0
t²-6t +8 =0
D= 36-4*1*8 = 4 =2²
t₁= (6-2)/2 = 4/2 = 2
t₂= (6+2)/2 = 8/2 =4
2ˣ =2
2ˣ= 2¹
х₁=1
2ˣ=4
2ˣ=2²
х₂=2
Вас заинтересует
3 года назад
3 года назад
8 лет назад
10 лет назад
10 лет назад
10 лет назад